网站访问量
人次
首页
香辛料加工基础数据库
葱
姜
蒜
辣椒
花椒
胡椒
孜然
香辛料多维感官指纹谱图库
嗅觉属性
味觉属性
视觉属性
香辛料加工适应性数据库
葱
姜
蒜
辣椒
花椒
胡椒
孜然
首页
香辛料加工基础数据库
葱
姜
蒜
辣椒
花椒
胡椒
孜然
香辛料多维感官指纹谱图库
嗅觉属性
味觉属性
视觉属性
香辛料加工适应性数据库
葱
姜
蒜
辣椒
花椒
胡椒
孜然
香辛料多维感官指纹谱图库
嗅觉属性
蒜
姜
葱
辣椒
花椒
胡椒
味觉属性
姜
蒜
葱
花椒
胡椒
视觉属性
姜
当前位置:
当前位置:
首页
->
香辛料多维感官指纹谱图库
->
味觉属性
->
姜
->
正文
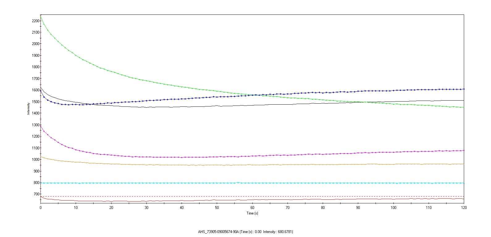
老南姜
阅读次数:次